Spectral fitting example (Crab)

This notebook fits the spectrum of a Crab simulated using MEGAlib and combined with background.

3ML is a high-level interface that allows multiple datasets from different instruments to be used coherently to fit the parameters of source model. A source model typically consists of a list of sources with parametrized spectral shapes, sky locations and, for extended sources, shape. Polarization is also possible. A “coherent” analysis, in this context, means that the source model parameters are fitted using all available datasets simultanously, rather than performing individual fits and finding a well-suited common model a posteriori.

In order for a dataset to be included in 3ML, each instrument needs to provide a “plugin”. Each plugin is responsible for reading the data, convolving the source model (provided by 3ML) with the instrument response, and returning a likelihood. In our case, we’ll compute a binned Poisson likelihood:

\[\log \mathcal{L}(\mathbf{x}) = \sum_i \log \frac{\lambda_i(\mathbf{x})^{d_i} \exp (-\lambda_i)}{d_i!}\]

where \(d_i\) are the counts on each bin and \(\lambda_i\) are the expected counts given a source model with parameters \(\mathbf{x}\).

In this example, we will fit a single point source with a known location. We’ll assume the background is known and fixed up to a scaling factor. Finally, we will fit a Band function:

\[\begin{split}f(x) = K \begin{cases} \left(\frac{x}{E_{piv}}\right)^{\alpha} \exp \left(-\frac{(2+\alpha) * x}{x_{p}}\right) & x \leq (\alpha-\beta) \frac{x_{p}}{(\alpha+2)} \\ \left(\frac{x}{E_{piv}}\right)^{\beta} * \exp (\beta-\alpha)\left[\frac{(\alpha-\beta) x_{p}}{E_{piv}(2+\alpha)}\right]^{\alpha-\beta} * &x>(\alpha-\beta) \frac{x_{p}}{(\alpha+2)} \end{cases}\end{split}\]

where \(K\) (normalization), \(\alpha\) & \(\beta\) (spectral indeces), and \(x_p\) (peak energy) are the free parameters, while \(E_{piv}\) is the pivot energy which is fixed (and arbitrary).

Considering these assumptions:

\[\lambda_i(\mathbf{x}) = B*b_i + s_i(\mathbf{x})\]

where \(B*b_i\) are the estimated counts due to background in each bin with \(B\) the amplitude and \(b_i\) the shape of the background, and \(s_i\) are the corresponding expected counts from the source, the goal is then to find the values of \(\mathbf{x} = [K, \alpha, \beta, x_p]\) and \(B\) that maximize \(\mathcal{L}\). These are the best estimations of the parameters.

The final module needs to also fit the time-dependent background, handle multiple point-like and extended sources, as well as all the spectral models supported by 3ML. Eventually, it will also fit the polarization angle. However, this simple example already contains all the necessary pieces to do a fit.

[1]:
from cosipy import BinnedData
from cosipy.spacecraftfile import SpacecraftHistory
from cosipy.response.FullDetectorResponse import FullDetectorResponse
from cosipy.util import fetch_wasabi_file

from cosipy.statistics import PoissonLikelihood
from cosipy.background_estimation import FreeNormBinnedBackground
from cosipy.interfaces import ThreeMLPluginInterface
from cosipy.response import BinnedThreeMLModelFolding, BinnedInstrumentResponse, BinnedThreeMLPointSourceResponse
from cosipy.data_io import EmCDSBinnedData

import sys

import astropy.units as u

import numpy as np
import matplotlib.pyplot as plt

from threeML import Band, PointSource, Model, JointLikelihood, DataList
from astromodels import Parameter, Powerlaw

from pathlib import Path

%matplotlib inline
15:27:55 WARNING   The naima package is not available. Models that depend on it will not be         functions.py:43
                  available                                                                                        
         WARNING   The GSL library or the pygsl wrapper cannot be loaded. Models that depend on it  functions.py:65
                  will not be available.                                                                           
         WARNING   The ebltable package is not available. Models that depend on it will not be     absorption.py:33
                  available                                                                                        
15:27:56 INFO      Starting 3ML!                                                                     __init__.py:44
         WARNING   WARNINGs here are NOT errors                                                      __init__.py:45
         WARNING   but are inform you about optional packages that can be installed                  __init__.py:46
         WARNING    to disable these messages, turn off start_warning in your config file            __init__.py:47
         WARNING   ROOT minimizer not available                                                minimization.py:1208
         WARNING   Multinest minimizer not available                                           minimization.py:1218
         WARNING   PyGMO is not available                                                      minimization.py:1228
         WARNING   The cthreeML package is not installed. You will not be able to use plugins which  __init__.py:95
                  require the C/C++ interface (currently HAWC)                                                     
         WARNING   Could not import plugin HAWCLike.py. Do you have the relative instrument         __init__.py:136
                  software installed and configured?                                                               
         WARNING   Could not import plugin FermiLATLike.py. Do you have the relative instrument     __init__.py:136
                  software installed and configured?                                                               
         WARNING   No fermitools installed                                              lat_transient_builder.py:44
         WARNING   Env. variable OMP_NUM_THREADS is not set. Please set it to 1 for optimal         __init__.py:345
                  performances in 3ML                                                                              
         WARNING   Env. variable MKL_NUM_THREADS is not set. Please set it to 1 for optimal         __init__.py:345
                  performances in 3ML                                                                              
         WARNING   Env. variable NUMEXPR_NUM_THREADS is not set. Please set it to 1 for optimal     __init__.py:345
                  performances in 3ML                                                                              

Download and read in binned data

Define the path to the directory containing the data, detector response, orientation file, and yaml files if they have already been downloaded, or the directory to download the files into

[2]:
data_path = Path("") # /path/to/files. Current dir by default

Download the orientation file (684.38 MB)

[3]:
fetch_wasabi_file('COSI-SMEX/DC2/Data/Orientation/20280301_3_month_with_orbital_info.ori', output=str(data_path / '20280301_3_month_with_orbital_info.ori'), checksum = '416fcc296fc37a056a069378a2d30cb2')
A file named 20280301_3_month_with_orbital_info.ori already exists with the specified checksum (416fcc296fc37a056a069378a2d30cb2). Skipping.

Read in the spacecraft orientation file

[4]:
sc_orientation = SpacecraftHistory.open(data_path / "20280301_3_month_with_orbital_info.ori")

Download signal and background data. FreeNormBinnedBackground supports multiple components, the normalization of all of them would be fitted simultanously. To make this example run fast, the default is to combined all of them into a single background model.

[5]:
single_bkg_fit = True

crab_data_path = data_path / "crab_standard_3months_binned_data_filtered_with_SAAcut.fits.gz.hdf5"
fetch_wasabi_file('COSI-SMEX/cosipy_tutorials/crab_spectral_fit_galactic_frame/crab_standard_3months_binned_data_filtered_with_SAAcut.fits.gz.hdf5',
                  output=crab_data_path, checksum = '405862396dea2be79d7892d6d5bb50d8')

bkg_components = {"PrimaryProtons":{'filename':'PrimaryProtons_WithDetCstbinned_data_filtered_with_SAAcut.hdf5', 'checksum':'7597f04210e59340a0888c66fc5cbc63'},
                  "PrimaryAlphas": {'filename': 'PrimaryAlphas_WithDetCstbinned_data_filtered_with_SAAcut.hdf5', 'checksum': '76a68da730622851b8e1c749248c3b40'},
                  "AlbedoPhotons": {'filename': 'AlbedoPhotons_WithDetCstbinned_data_filtered_with_SAAcut.hdf5', 'checksum': '76c58361d2c9b43b66ef2e41c18939c4'},
                  "AlbedoNeutrons": {'filename': 'AlbedoNeutrons_WithDetCstbinned_data_filtered_with_SAAcut.hdf5', 'checksum': '8f3cb418c637b839665a4fcbd000d2eb'},
                  "CosmicPhotons": {'filename': 'CosmicPhotons_3months_binned_data_filtered_with_SAAcut.hdf5', 'checksum': '93c4619b383572d318328e6380e35a70'},
                  "CosmicDiffuse": {'filename': 'GalTotal_SA100_F98_3months_binned_data_filtered_with_SAAcut.hdf5', 'checksum': 'd0415d4d04b040af47f23f5d08cb7d64'},
                  "SecondaryPositrons": {'filename': 'SecondaryPositrons_3months_binned_data_filtered_with_SAAcut.hdf5', 'checksum': '5fec2212dcdbb4c43c3ac02f02524f68'},
                  "SecondaryProtons": {'filename': 'SecondaryProtons_WithDetCstbinned_data_filtered_with_SAAcut.fits.gz.hdf5', 'checksum': '78aefa46707c98563294a898a62845c1'},
                  "SAAprotons": {'filename': 'SAA_3months_unbinned_data_filtered_with_SAAcut_statreduced_akaHEPD01result.hdf5', 'checksum': 'fc69fbbfd94cd595f57a8b11fc721169'},
                  }

# Download the binned background data
for bkg in bkg_components.values():
    wasabi_path = 'COSI-SMEX/cosipy_tutorials/crab_spectral_fit_galactic_frame/'+bkg['filename']
    fetch_wasabi_file(wasabi_path, output=data_path/bkg['filename'], checksum = bkg['checksum'])
A file named crab_standard_3months_binned_data_filtered_with_SAAcut.fits.gz.hdf5 already exists with the specified checksum (405862396dea2be79d7892d6d5bb50d8). Skipping.
A file named PrimaryProtons_WithDetCstbinned_data_filtered_with_SAAcut.hdf5 already exists with the specified checksum (7597f04210e59340a0888c66fc5cbc63). Skipping.
A file named PrimaryAlphas_WithDetCstbinned_data_filtered_with_SAAcut.hdf5 already exists with the specified checksum (76a68da730622851b8e1c749248c3b40). Skipping.
A file named AlbedoPhotons_WithDetCstbinned_data_filtered_with_SAAcut.hdf5 already exists with the specified checksum (76c58361d2c9b43b66ef2e41c18939c4). Skipping.
A file named AlbedoNeutrons_WithDetCstbinned_data_filtered_with_SAAcut.hdf5 already exists with the specified checksum (8f3cb418c637b839665a4fcbd000d2eb). Skipping.
A file named CosmicPhotons_3months_binned_data_filtered_with_SAAcut.hdf5 already exists with the specified checksum (93c4619b383572d318328e6380e35a70). Skipping.
A file named GalTotal_SA100_F98_3months_binned_data_filtered_with_SAAcut.hdf5 already exists with the specified checksum (d0415d4d04b040af47f23f5d08cb7d64). Skipping.
A file named SecondaryPositrons_3months_binned_data_filtered_with_SAAcut.hdf5 already exists with the specified checksum (5fec2212dcdbb4c43c3ac02f02524f68). Skipping.
A file named SecondaryProtons_WithDetCstbinned_data_filtered_with_SAAcut.fits.gz.hdf5 already exists with the specified checksum (78aefa46707c98563294a898a62845c1). Skipping.
A file named SAA_3months_unbinned_data_filtered_with_SAAcut_statreduced_akaHEPD01result.hdf5 already exists with the specified checksum (fc69fbbfd94cd595f57a8b11fc721169). Skipping.

Load binned .hdf5 files. Create BinnedData objects for the Crab only, Crab+background, and background only. The Crab only simulation is not used for the spectral fit, but can be used to compare the fitted spectrum to the source simulation

[6]:
crab = BinnedData(data_path / "crab.yaml")
crab.load_binned_data_from_hdf5(binned_data=crab_data_path)

for bkg in bkg_components.values():
    binned_data = BinnedData(data_path / "background.yaml")
    binned_data.load_binned_data_from_hdf5(binned_data=data_path/bkg['filename'])
    bkg['dist'] = binned_data.binned_data.project('Em', 'Phi', 'PsiChi')

total_bkg = None
for bkg in bkg_components.values():
    if total_bkg is None:
        total_bkg = bkg['dist']
    else:
        total_bkg = total_bkg + bkg['dist'] # Issues with in-place operations for sparse contents

if single_bkg_fit:
    bkg_dist = {"total_bkg":total_bkg}
else:
    bkg_dist = {l: b['dist'] for l, b in bkg_components.items()}

# Workaround to avoid inf values. Out bkg should be smooth, but currently it's not.
# Reproduces results before refactoring. It's not _exactly_ the same, since this fudge value was 1e-12, and
# it was added to the expectation, not the normalized bkg
for bckfile in bkg_dist.keys() :
    bkg_dist[bckfile] += sys.float_info.min

Fetch and open the response

[7]:
dr_path = str(data_path / "ResponseContinuum.o3.e100_10000.b10log.s10396905069491.m2284.filtered.nonsparse.binnedimaging.imagingresponse.h5") # path to detector response
fetch_wasabi_file('COSI-SMEX/develop/Data/Responses/ResponseContinuum.o3.e100_10000.b10log.s10396905069491.m2284.filtered.nonsparse.binnedimaging.imagingresponse.h5',
                       output=str(dr_path), checksum = '7121f094be50e7bfe9b31e53015b0e85')

dr = FullDetectorResponse.open(dr_path)
A file named ResponseContinuum.o3.e100_10000.b10log.s10396905069491.m2284.filtered.nonsparse.binnedimaging.imagingresponse.h5 already exists with the specified checksum (7121f094be50e7bfe9b31e53015b0e85). Skipping.

Perform spectral fit

Set background parameter, which is used to fit the amplitude of the background, and instantiate the COSI 3ML plugin

[8]:
# Wrap the raw BinnedData objects into the appropiate data interface.
data = EmCDSBinnedData(crab.binned_data.project('Em', 'Phi', 'PsiChi') + total_bkg)

# Use the background model to initialize a background expectation interface.
# For this particular background interface implementation, only the normalization values are free.
bkg = FreeNormBinnedBackground(bkg_dist,
                               sc_history=sc_orientation,
                               copy = False)

# Wrape the raw response with BinnedInstrumentResponseInterface implementation
instrument_response = BinnedInstrumentResponse(dr, data)

# Initialize the 3ML Point Source response

# Note: Currently we're using the same NuLambda, Ei and Pol axes as the underlying FullDetectorResponse,
# matching the behavior of v0.3. This is all the current BinnedInstrumentResponse can do.
# In principle, this can be decoupled, and a BinnedInstrumentResponseInterface implementation
# can provide the response for an arbitrary directions, Ei and Pol values.
psr = BinnedThreeMLPointSourceResponse(data = data,
                                       instrument_response = instrument_response,
                                       sc_history=sc_orientation,
                                       energy_axis = dr.axes['Ei'],
                                       polarization_axis = dr.axes['Pol'] if 'Pol' in dr.axes.labels else None,
                                       nside = 2*data.axes['PsiChi'].nside)

# Pass the 3ML Point Source response to interface implementation that will peform the
# folding with the spectrum
response = BinnedThreeMLModelFolding(data = data, point_source_response = psr)

# Likelihood to use
like_fun = PoissonLikelihood(data, response, bkg)

# Init 3ML plugin
cosi = ThreeMLPluginInterface('cosi',
                              like_fun,
                              response,
                              bkg)

# Init background parameters, consider as "nuisance parameters"
for bkg_label in bkg_dist.keys():
    cosi.bkg_parameter[bkg_label] = Parameter(bkg_label,  # background parameter
                                      1,  # initial value of parameter
                                      min_value=0,  # minimum value of parameter
                                      max_value= 100 if single_bkg_fit else 20,  # maximum value of parameter
                                      delta=0.05,  # initial step used by fitting engine
                                      unit = u.Hz
                                      )

Define a point source at the known location with a Band function spectrum and add it to the model. The initial values of the Band function parameters are set to the true values used to simulate the source

[9]:
l = 184.56
b = -5.78

alpha = -1.99
beta = -2.32
E0 = 531. * (alpha - beta) * u.keV
xp = E0 * (alpha + 2) / (alpha - beta)
piv = 500. * u.keV
K = 3.07e-5 / u.cm / u.cm / u.s / u.keV

spectrum = Band()

spectrum.alpha.min_value = -2.14
spectrum.alpha.max_value = 3.0
spectrum.beta.min_value = -5.0
spectrum.beta.max_value = -2.15
spectrum.xp.min_value = 1.0
spectrum.alpha.delta = 0.01
spectrum.beta.delta = 0.01

spectrum.alpha.value = alpha
spectrum.beta.value = beta
spectrum.xp.value = xp.value
spectrum.K.value = K.value
spectrum.piv.value = piv.value

spectrum.xp.unit = xp.unit
spectrum.K.unit = K.unit
spectrum.piv.unit = piv.unit

source = PointSource("source",                     # Name of source (arbitrary, but needs to be unique)
                     l = l,                        # Longitude (deg)
                     b = b,                        # Latitude (deg)
                     spectral_shape = spectrum)    # Spectral model

# Optional: free the position parameters
#source.position.l.free = True
#source.position.b.free = True

model = Model(source)  # Model with single source. If we had multiple sources, we would do Model(source1, source2, ...)
15:28:37 WARNING   The current value of the parameter beta (-2.0) was above the new maximum -2.15. parameter.py:810

Gather all plugins and combine with the model in a JointLikelihood object, then perform maximum likelihood fit

[10]:
#[magic commented out by run_tutorials.py]%%time

plugins = DataList(cosi) # If we had multiple instruments, we would do e.g. DataList(cosi, lat, hawc, ...)

like = JointLikelihood(model, plugins, verbose = False)

_ = like.fit()
15:28:37 INFO      set the minimizer to minuit                                              joint_likelihood.py:994

WARNING IntegrationWarning: The occurrence of roundoff error is detected, which prevents
  the requested tolerance from being achieved.  The error may be
  underestimated.

15:28:46 WARNING   The current value of the parameter beta (-2.0) was above the new maximum -2.15. parameter.py:810
Best fit values:

result unit
parameter
source.spectrum.main.Band.K (5.41 +/- 0.11) x 10^-5 1 / (keV s cm2)
source.spectrum.main.Band.alpha -1.838 +/- 0.005
source.spectrum.main.Band.xp (1.78 +/- 0.09) x 10 keV
source.spectrum.main.Band.beta -2.2211 +/- 0.0034
total_bkg (2.22876 +/- 0.00024) x 10 Hz
Correlation matrix:

1.000.60-0.23-0.06-0.03
0.601.000.590.16-0.01
-0.230.591.00-0.06-0.02
-0.060.16-0.061.00-0.19
-0.03-0.01-0.02-0.191.00
Values of -log(likelihood) at the minimum:

-log(likelihood)
cosi -1169452582.9882479
total -1169452582.9882479
Values of statistical measures:

statistical measures
AIC -2338905155.9762354
BIC -2338905104.2386346

Error propagation and plotting

Define Band function spectrum injected into MEGAlib

[11]:
alpha_inj = -1.99
beta_inj = -2.32
E0_inj = 531. * (alpha_inj - beta_inj) * u.keV
xp_inj = E0_inj * (alpha_inj + 2) / (alpha_inj - beta_inj)
piv_inj = 100. * u.keV
K_inj = 7.56e-4 / u.cm / u.cm / u.s / u.keV

spectrum_inj = Band()

spectrum_inj.alpha.min_value = -2.14
spectrum_inj.alpha.max_value = 3.0
spectrum_inj.beta.min_value = -5.0
spectrum_inj.beta.max_value = -2.15
spectrum_inj.xp.min_value = 1.0

spectrum_inj.alpha.value = alpha_inj
spectrum_inj.beta.value = beta_inj
spectrum_inj.xp.value = xp_inj.value
spectrum_inj.K.value = K_inj.value
spectrum_inj.piv.value = piv_inj.value

spectrum_inj.xp.unit = xp_inj.unit
spectrum_inj.K.unit = K_inj.unit
spectrum_inj.piv.unit = piv_inj.unit
         WARNING   The current value of the parameter beta (-2.0) was above the new maximum -2.15. parameter.py:810

The summary of the results above tell you the optimal values of the parameters, as well as the errors. Propogate the errors to the “evaluate_at” method of the spectrum

[12]:
results = like.results

print(results.display())

parameters = {par.name:results.get_variates(par.path)
              for par in results.optimized_model["source"].parameters.values()
              if par.free}

results_err = results.propagate(results.optimized_model["source"].spectrum.main.shape.evaluate_at, **parameters)

print(results.optimized_model["source"])
Best fit values:

result unit
parameter
source.spectrum.main.Band.K (5.41 +/- 0.11) x 10^-5 1 / (keV s cm2)
source.spectrum.main.Band.alpha -1.838 +/- 0.005
source.spectrum.main.Band.xp (1.78 +/- 0.09) x 10 keV
source.spectrum.main.Band.beta -2.2211 +/- 0.0034
total_bkg (2.22876 +/- 0.00024) x 10 Hz
Correlation matrix:

1.000.60-0.23-0.06-0.03
0.601.000.590.16-0.01
-0.230.591.00-0.06-0.02
-0.060.16-0.061.00-0.19
-0.03-0.01-0.02-0.191.00
Values of -log(likelihood) at the minimum:

-log(likelihood)
cosi -1169452582.9882479
total -1169452582.9882479
Values of statistical measures:

statistical measures
AIC -2338905155.9762354
BIC -2338905104.2386346
None
         WARNING   The current value of the parameter beta (-2.0) was above the new maximum -2.15. parameter.py:810
         WARNING   The current value of the parameter beta (-2.0) was above the new maximum -2.15. parameter.py:810
         WARNING   The current value of the parameter beta (-2.0) was above the new maximum -2.15. parameter.py:810
  * source (point source):
    * position:
      * l:
        * value: 184.56
        * desc: Galactic longitude
        * min_value: 0.0
        * max_value: 360.0
        * unit: deg
        * is_normalization: false
      * b:
        * value: -5.78
        * desc: Galactic latitude
        * min_value: -90.0
        * max_value: 90.0
        * unit: deg
        * is_normalization: false
      * equinox: J2000
    * spectrum:
      * main:
        * Band:
          * K:
            * value: 5.4051037971774306e-05
            * desc: Differential flux at the pivot energy
            * min_value: 1.0e-50
            * max_value: null
            * unit: keV-1 s-1 cm-2
            * is_normalization: true
          * alpha:
            * value: -1.8382906397995242
            * desc: low-energy photon index
            * min_value: -2.14
            * max_value: 3.0
            * unit: ''
            * is_normalization: false
          * xp:
            * value: 17.80704053659518
            * desc: peak in the x * x * N (nuFnu if x is a energy)
            * min_value: 1.0
            * max_value: null
            * unit: keV
            * is_normalization: false
          * beta:
            * value: -2.221118197373546
            * desc: high-energy photon index
            * min_value: -5.0
            * max_value: -2.15
            * unit: ''
            * is_normalization: false
          * piv:
            * value: 500.0
            * desc: pivot energy
            * min_value: null
            * max_value: null
            * unit: keV
            * is_normalization: false
        * polarization: {}

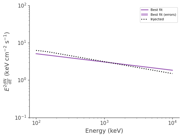
Evaluate the flux and errors at a range of energies for the fitted and injected spectra, and the simulated source flux

[13]:
energy = np.geomspace(100*u.keV,10*u.MeV).to_value(u.keV)

flux_lo = np.zeros_like(energy)
flux_median = np.zeros_like(energy)
flux_hi = np.zeros_like(energy)
flux_inj = np.zeros_like(energy)

for i, e in enumerate(energy):
    flux = results_err(e)
    flux_median[i] = flux.median
    flux_lo[i], flux_hi[i] = flux.equal_tail_interval(cl=0.68)
    flux_inj[i] = spectrum_inj.evaluate_at(e)

binned_energy_edges = crab.binned_data.axes['Em'].edges.value
binned_energy = np.array([])
bin_sizes = np.array([])

for i in range(len(binned_energy_edges)-1):
    binned_energy = np.append(binned_energy, (binned_energy_edges[i+1] + binned_energy_edges[i]) / 2)
    bin_sizes = np.append(bin_sizes, binned_energy_edges[i+1] - binned_energy_edges[i])

expectation = response.expectation()

Plot the fitted and injected spectra

[14]:
fig,ax = plt.subplots()

ax.plot(energy, energy*energy*flux_median, label = "Best fit")
ax.fill_between(energy, energy*energy*flux_lo, energy*energy*flux_hi, alpha = .5, label = "Best fit (errors)")
ax.plot(energy, energy*energy*flux_inj, color = 'black', ls = ":", label = "Injected")

ax.set_xscale("log")
ax.set_yscale("log")

ax.set_xlabel("Energy (keV)")
ax.set_ylabel(r"$E^2 \frac{dN}{dE}$ (keV cm$^{-2}$ s$^{-1}$)")

ax.set_ylim(.1,100)

_ = ax.legend()
../../../../_images/tutorials_spectral_fits_continuum_fit_crab_SpectralFit_Crab_31_0.png

Plot the fitted spectrum convolved with the response, as well as the simulated source counts

[15]:
fig,ax = plt.subplots()

ax.stairs(expectation.project('Em').todense().contents, binned_energy_edges, color='purple', label = "Best fit convolved with response")
ax.errorbar(binned_energy, expectation.project('Em').todense().contents, yerr=np.sqrt(expectation.project('Em').todense().contents), color='purple', linewidth=0, elinewidth=1)
ax.stairs(crab.binned_data.project('Em').todense().contents, binned_energy_edges, color = 'black', ls = ":", label = "Source counts")
ax.errorbar(binned_energy, crab.binned_data.project('Em').todense().contents, yerr=np.sqrt(crab.binned_data.project('Em').todense().contents), color='black', linewidth=0, elinewidth=1)

ax.set_xscale("log")
ax.set_yscale("log")

ax.set_xlabel("Energy (keV)")
ax.set_ylabel("Counts")

_ = ax.legend()
../../../../_images/tutorials_spectral_fits_continuum_fit_crab_SpectralFit_Crab_33_0.png

Plot the fitted spectrum convolved with the response plus the fitted background, as well as the simulated source+background counts

[16]:
expectation_bkg = bkg.expectation(copy = True)

fig,ax = plt.subplots()

ax.stairs(expectation.project('Em').todense().contents + expectation_bkg.project('Em').todense().contents, binned_energy_edges, color='purple', label = "Best fit convolved with response plus background")
ax.errorbar(binned_energy, expectation.project('Em').todense().contents+expectation_bkg.project('Em').todense().contents, yerr=np.sqrt(expectation.project('Em').todense().contents+expectation_bkg.project('Em').todense().contents), color='purple', linewidth=0, elinewidth=1)
ax.stairs(data.data.project('Em').todense().contents, binned_energy_edges, color = 'black', ls = ":", label = "Total counts")
ax.errorbar(binned_energy, data.data.project('Em').todense().contents, yerr=np.sqrt(data.data.project('Em').todense().contents), color='black', linewidth=0, elinewidth=1)

ax.set_xscale("log")
ax.set_yscale("log")

ax.set_xlabel("Energy (keV)")
ax.set_ylabel("Counts")

ax.legend()

plt.show()
../../../../_images/tutorials_spectral_fits_continuum_fit_crab_SpectralFit_Crab_35_0.png
[ ]: